Accueil
Sujets
Cours
Livres
Espace Prof
Formation Professionnelle
Cours de vacances
QCM
Videos
Infos
Discussions
Connexion
Vous êtes ici :
Cours de vacances 3ième
Cours de vacances Maths 3eme
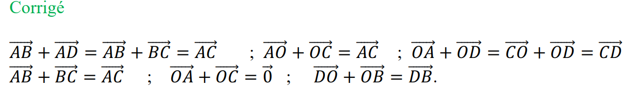
MATHS 3ième : FICHE 1 (VECTEURS) : CORRECTION DISPONIBLE
MATHS 3ième : FICHE 1 (VECTEURS) : CORRECTION DISPONIBLE
Sujets, Cours et Annales récents
DEVOIR DE CLASSE MATHS niveau Tle D MERLAN 12 NOVEMBRE 2025 (SUJET DE REMPLACEMENT) by TEHUA
BAREME DU DEVOIR DE MATHS N°1 NIVEAU Tle D COLLEGE PRIVE MERLAN 12 Novembre 2025 (SUJET DE REMPLACEMENT) BY TEHUA
VERSION B BAREME INTERRO ECRITE N°4 DE MATHS NIVEAU Tle D MERLAN DU 10 NOVEMBRE 2025 PROBA VERSION B by TEHUA
VERSION A BAREME INTERRO ECRITE N°4 DE MATHS NIVEAU Tle D MERLAN DU 10 NOVEMBRE 2025 PROBA VERSION A by TEHUA
INTERROGATION ECRITE N°4 DE MATHS NIVEAU Tle D MERLAN DU 10 NOVEMBRE 2025 PROBA VERSION B by TEHUA
INTERROGATION ECRITE N°4 DE MATHS NIVEAU Tle D MERLAN DU 10 NOVEMBRE 2025 PROBA VERSION A by TEHUA
DEVOIR D'ANGLAIS N°1 NIVEAU 4ième 3ième by TEHUA
DEVOIR D'ANGLAIS N°1 NIVEAU 6ième by TEHUA
COURS NEGOCIATION INFORMATIQUE - INC
DEVOIR DE NIVEAU MATHS niveau 4ième 12 NOVEMBRE 2025 by TEHUA
DEVOIR DE NIVEAU MATHS niveau 3ième 12 NOVEMBRE 2025( EXERCICE 4 MODIFIE) rectifié by TEHUA
DOCUMENT DE TRAVAUX DIRIGES MATHS NIVEAU 3ième + ANCIENS SUJETS BEPC (2025 2024 2023 2022) by TEHUA
FICHE DE DISSERTATION LITTERAIRE SUR LA POESIE AVEC ETUDE DU SUJET BY TEHUA
INTERROGATION ECRITE N°6 DE MATHS NIVEAU 5ième (LES ANGLES) NOVEMBRE 2025 BY TEHUA
INTERROGATION ECRITE N°5 DE MATHS NIVEAU 5ième (LES ANGLES) NOVEMBRE 2025 BY TEHUA
INTERROGATION ECRITE N°4 DE MATHS NIVEAU 5ième (LES ANGLES) NOVEMBRE 2025 BY TEHUA
INTERROGATION ECRITE N°3 MATHS NIVEAU 5ième (FIGURES SYMÉTRIQUES PAR RAPPORT À UNE DROITE) BY TEHUA
INTERROGATION ECRITE N°3 MATHS NIVEAU 5ième (FIGURES SYMÉTRIQUES PAR RAPPORT À UNE DROITE) BAREME BY TEHUA
INTERROGATION ECRITE N°3 DE MATHS NIVEAU 5ième (LES ANGLES) NOVEMBRE 2025 BY TEHUA
INTERROGATION ECRITE N°2 MATHS NIVEAU 5ième (FIGURES SYMÉTRIQUES PAR RAPPORT À UNE DROITE) BY TEHUA
INTERROGATION ECRITE N°2 MATHS NIVEAU 5ième (FIGURES SYMÉTRIQUES PAR RAPPORT À UNE DROITE) BAREME BY TEHUA
INTERROGATION ECRITE N°2 DE MATHS NIVEAU 5ième (LES ANGLES) NOVEMBRE 2025 BY TEHUA
INTERROGATION ECRITE N°1 MATHS NIVEAU 5ième (FIGURES SYMÉTRIQUES PAR RAPPORT À UNE DROITE) BY TEHUA
INTERROGATION ECRITE N°1 MATHS NIVEAU 5ième (FIGURES SYMÉTRIQUES PAR RAPPORT À UNE DROITE) BAREME BY TEHUA Copie
INTERROGATION ECRITE N°1 DE MATHS NIVEAU 5ième (LES ANGLES) NOVEMBRE 2025 BY TEHUA
INTERROGATION ECRITE DE MATHS NIVEAU 4ième (PPCM et PGCD) NOVEMBRE 2025 BY TEHUA
DEVOIR D'ANGLAIS N°1 NIVEAU Tle A PROVINCIAL Octobre 2025 BY TEHUA
DEVOIR D'ANGLAIS N°1 NIVEAU 3ième PROVINCIAL Octobre 2025 by TEHUA
DEVOIR D'ANGLAIS N°1 NIVEAU 4ième PROVINCIAL Octobre 2025 by TEHUA
DEVOIR D'ANGLAIS N°1 NIVEAU 5ième PROVINCIAL Octobre 2025 by TEHUA
DEVOIR D'ANGLAIS N°1 NIVEAU 6ième PROVINCIAL Octobre 2025 by TEHUA
FICHE DE TRAVAUX DIRIGES PC NIVEAU 6ième (COMMANDES D’UN CIRCUIT ÉLECTRIQUE) BY TEHUA
LICENCE MATHS INFO TD 24 25 STRUCTURES ALGÉBRIQUES by TEHUA
LICENCE MATHS INFO TD 24 25 ÉLÉMENTS DE LOGIQUE by TEHUA
LICENCE MATHS INFO TD UE MECANIQUE DES POINTS L1 TRONC UFHB 24 25 by TEHUA
LICENCE MATHS INFO TD UE MECANIQUE DES POINTS L1 TRONC UFHB 24 25 by TEHUA
LICENCE MATHS INFO TD 24 25 STRUCTURES ALGÉBRIQUES by TEHUA
LICENCE MATHS INFO TD 24 25 ÉLÉMENTS DE LOGIQUE by TEHUA
LICENCE MATHS INFO SUJET ALGORITHME ET CORRECTION by TEHUA
LICENCE MATHS INFO FICHE DE TRAVAUX DIRIGÉS DE LOGIQUE BY TEHUA
Connexion
Pseudo
Mot de passe
Afficher le mot de passe
Maintenir la connexion
Se connecter avec Google
Connexion
Mot de passe perdu ?
Identifiant perdu ?
Créer un compte
Discussions en cours
documment
one month ago.
envoyer les nouvelles collection comme ezovu svt tle d et HKA
La science au service du développement personnel
one month ago.
Dans une suite géométrique, chaque terme est obtenu en multipliant le précédent par une raison...
Documents
2 years ago.
Bonsoir Svp puis-je avoir le livre de math payramide 3e et son corrigé ? Merci
Réunion du comité de direction - exemplaire
3 months ago.
Réunion du comité de direction Date : 15 janvier 2024 Heure : 9h00-9h30 Participants : * [Nom...
Deux capitaux dont la somme est égal à 50000f , le premier est placé à T% et le second ( T-1)% ....
3 months ago.
QUESTION: Deux capitaux dont la somme est égal à 50000f , le premier est placé à T% et le second...
Sujets CP1 au CM2
Cours CP1 au CM2
Sujets 6eme à la Terminale
Cours 6eme à la Terminale
Sujets Universités/Grandes Ecoles
Cours Universités/Grandes Ecoles
Sujets pour Concours
Cours pour Concours
Livres Fascicules
Sujets et Cours Divers
Autres Documents
QCM