Accueil
Sujets
Cours
Livres
Espace Prof
Formation Professionnelle
Cours de vacances
QCM
Videos
Infos
Discussions
Connexion
Vous êtes ici :
Cours de vacances Terminale
Cours de vacances Maths Tle
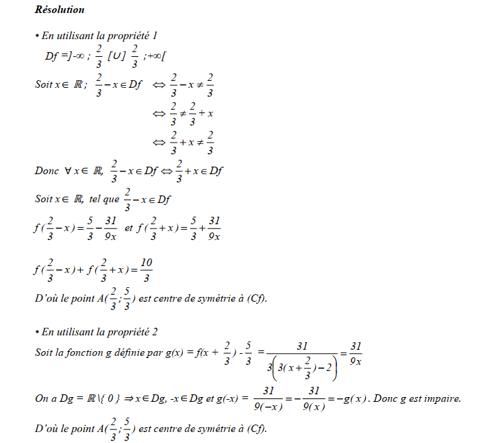
MATHS Tle D : FICHE 2 (ETUDE DE FONCTIONS) : CORRECTION DISPONIBLE
MATHS Tle D : FICHE 2 (ETUDE DE FONCTIONS) : CORRECTION DISPONIBLE
Sujets, Cours et Annales récents
INTERROGATION ECRITE N°4 DE MATHS NIVEAU 4ième (PPCM ET PGCD) NOVEMBRE 2025 MERLAN BY TEHUA
DEVOIR D'ANGLAIS N°1 NIVEAU Tle A PROVINCIAL Octobre 2025 BY TEHUA
DEVOIR D'ANGLAIS N°1 NIVEAU 3ième PROVINCIAL Octobre 2025 by TEHUA
DEVOIR D'ANGLAIS N°1 NIVEAU 4ième PROVINCIAL Octobre 2025 by TEHUA
DEVOIR D'ANGLAIS N°1 NIVEAU 5ième PROVINCIAL Octobre 2025 by TEHUA
DEVOIR D'ANGLAIS N°1 NIVEAU 6ième PROVINCIAL Octobre 2025 by TEHUA
FICHE DE TRAVAUX DIRIGES PC NIVEAU 6ième (COMMANDES D’UN CIRCUIT ÉLECTRIQUE) BY TEHUA
LICENCE MATHS INFO TD 24 25 STRUCTURES ALGÉBRIQUES by TEHUA
LICENCE MATHS INFO TD 24 25 ÉLÉMENTS DE LOGIQUE by TEHUA
LICENCE MATHS INFO TD UE MECANIQUE DES POINTS L1 TRONC UFHB 24 25 by TEHUA
LICENCE MATHS INFO TD UE MECANIQUE DES POINTS L1 TRONC UFHB 24 25 by TEHUA
LICENCE MATHS INFO TD 24 25 STRUCTURES ALGÉBRIQUES by TEHUA
LICENCE MATHS INFO TD 24 25 ÉLÉMENTS DE LOGIQUE by TEHUA
LICENCE MATHS INFO SUJET ALGORITHME ET CORRECTION by TEHUA
LICENCE MATHS INFO FICHE DE TRAVAUX DIRIGÉS DE LOGIQUE BY TEHUA
Licence maths info fiche d'Analyse L1 integrales generalisée by TEHUA
LICENCE MATHS INFO Fiche D'ANALYSE 1 NOMBRES REELS BY TEHUA
LICENCE MATHS INFO exercices corriges integrales generalisées by TEHUA
LICENCE MATHS INFO exercices corriges bornes superieures et inferieures b y TEHUA
LICENCE MATHS INFO EXERCICES CORRIGES SUITE ET FONCTIONS DÉRIVABLES by TEHUA
LICENCE MATHS INFO CPURS STRUCTURES ALGÉBRIQUES DOC 1 BY TEHUA
LICENCE MATHS INFO cours architecture des ordinateurs diarra 2023 by TEHUA
LICENCE MATHS INFO COURS SUR logique maths prof M Akeke by TEHUA
LICENCE MATHS INFO COURS SUITES ET FONCTIONS DÉRIVABLES DOC 1 by TEHUA
LICENCE MATHS INFO COURS Suites et fonctions dérivables BY TEHUA pdf
LICENCE MATHS INFO COURS STRUCTURES ALGÉBRIQUES by TEHUA
LICENCE MATHS INFO COURS L1 LOGIQUE ET RAISONNEMENT MATHS BY TEHUA
LICENCE MATHS INFO Cours L1 Eléments Logique maths 2026 by TEHUA
LICENCE MATHS INFO COURS DU LYCEE AUX CPGE SCIENTIFIQUES by TEHUA
LICENCE MATHS INFO COURS D'ANALYSE REELLE by TEHUA
LICENCE MATHS INFO CALCUL INTÉGRALE INDEFINIE bY TEHUA
LICENCE MATHS INFO COURS ALGORTHMIQUE BY TEHUA
Licence Maths Info ARCHITECTURE DES ORDINATEURS DOC 1 by TEHUA
LICENCE INFORMATIQUE RECUEIL D'EXERCICES CORRIGES PYTHON BY TEHUA
FASCICULE PHYSIQUE RESUMES ET EXERCICES CORRIGES Tle D BY TEHUA
FASCICULE PHYSIQUE RESUMES ET EXERCICES CORRIGES Tle C BY TEHUA
Fascicule PC de 3eme COURS COMPLET BY TEHUA
FASCICULE EXERCICES CORRIGES PC 2nde C MEILLEUR DOCUMMENT by TEHUA
FASCICULE DE MATHS NIVEAU 1ere D BY TEHUA
EXERCICES CORRIGE PROBABILITE NIVEAU TLE BY TEHUA
Connexion
Pseudo
Mot de passe
Afficher le mot de passe
Maintenir la connexion
Se connecter avec Google
Connexion
Mot de passe perdu ?
Identifiant perdu ?
Créer un compte
Discussions en cours
documment
6 weeks ago.
envoyer les nouvelles collection comme ezovu svt tle d et HKA
La science au service du développement personnel
one month ago.
Dans une suite géométrique, chaque terme est obtenu en multipliant le précédent par une raison...
Documents
(1 nouveau(x))
2 years ago.
Bonsoir Svp puis-je avoir le livre de math payramide 3e et son corrigé ? Merci
Réunion du comité de direction - exemplaire
3 months ago.
Réunion du comité de direction Date : 15 janvier 2024 Heure : 9h00-9h30 Participants : * [Nom...
Deux capitaux dont la somme est égal à 50000f , le premier est placé à T% et le second ( T-1)% ....
3 months ago.
QUESTION: Deux capitaux dont la somme est égal à 50000f , le premier est placé à T% et le second...
Sujets CP1 au CM2
Cours CP1 au CM2
Sujets 6eme à la Terminale
Cours 6eme à la Terminale
Sujets Universités/Grandes Ecoles
Cours Universités/Grandes Ecoles
Sujets pour Concours
Cours pour Concours
Livres Fascicules
Sujets et Cours Divers
Autres Documents
QCM