Accueil
Sujets
Cours
Livres
Espace Prof
Formation Professionnelle
Cours de vacances
QCM
Videos
Infos
Discussions
Connexion
Vous êtes ici :
Documents par nos Ambassadeurs
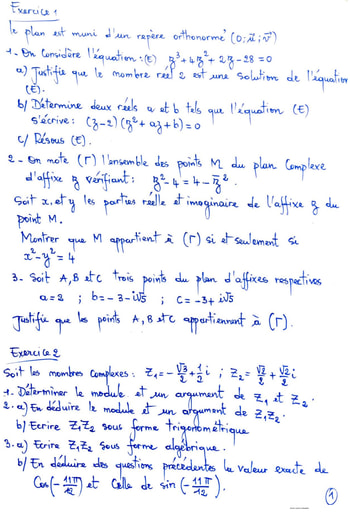
Fiche TD- Tle S (Ln et Expo)
pdf
Fiche TD- Tle S (Ln et Expo)
Populaires
Champs cochés :
bac-d
677 téléchargements
Télécharger
(pdf, 978 KB)
Connexion
Pseudo
Mot de passe
Afficher le mot de passe
Maintenir la connexion
Se connecter avec Google
Connexion
Mot de passe perdu ?
Identifiant perdu ?
Créer un compte
Discussions en cours
documment
Samedi 27 Septembre 2025 12:36
envoyer les nouvelles collection comme ezovu svt tle d et HKA
La science au service du développement personnel
Vendredi 19 Septembre 2025 20:47
Dans une suite géométrique, chaque terme est obtenu en multipliant le précédent par une raison...
Documents
Vendredi 22 Septembre 2023 22:14
Bonsoir Svp puis-je avoir le livre de math payramide 3e et son corrigé ? Merci
Réunion du comité de direction - exemplaire
Mercredi 20 Août 2025 08:58
Réunion du comité de direction Date : 15 janvier 2024 Heure : 9h00-9h30 Participants : * [Nom...
Deux capitaux dont la somme est égal à 50000f , le premier est placé à T% et le second ( T-1)% ....
Mercredi 20 Août 2025 08:51
QUESTION: Deux capitaux dont la somme est égal à 50000f , le premier est placé à T% et le second...
Sujets CP1 au CM2
Cours CP1 au CM2
Sujets 6eme à la Terminale
Cours 6eme à la Terminale
Sujets Universités/Grandes Ecoles
Cours Universités/Grandes Ecoles
Sujets pour Concours
Cours pour Concours
Livres Fascicules
Sujets et Cours Divers
Autres Documents
QCM