fomesoutra.com
  • Accueil
  • Sujets
  • Cours
  • Livres
  • Espace Prof
  • Formation Professionnelle
  • Cours de vacances
  • QCM
  • Videos
  • Infos
  • Discussions
  • Connexion
  1. Vous êtes ici :  
  2. Sujets
  3. Sujets du Secondaire
  4. Sujets niveau Terminale (Tle)
  5. Sujets de Terminale D
  6. Sujets de Mathématiques niveau Terminale D
  7. Devoirs et TD de mathématiques niveau terminale D
  8. Equations différentielles trigonométrique niveau Terminale D
  9. Corrigé TP 4 équations différentielles trigonométrique maths niveau Terminale D

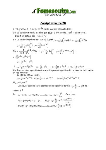
pdf Corrigé TP 4 équations différentielles trigonométrique maths niveau Terminale D Populaires

853 téléchargements

Télécharger (71 KB)
Corrigé TP 4 équations différentielles trigonométrique maths niveau Terminale D

Sujets, Cours et Annales récents

DEVOIR DE MATHS NIVEAU 5ième DU MOIS DE DECEMBRE 2025 MERLAN BY TEHUA
DEVOIR DE MATHS NIVEAU 5ième DU MOIS DE DECEMBRE 2025 MERLAN BY TEHUA
BAREME COMPOSITION GENERALE SESSION DECEMBRE 2025 MATHS 4ième SUJET en WORD
BAREME COMPOSITION GENERALE SESSION DECEMBRE 2025 MATHS 4ième SUJET en WORD
DEVOIR DE FIN D'ANNEE MATHS NIVEAU 4ième MERLAN DECEMBRE 2025 BY TEHUA
DEVOIR DE FIN D'ANNEE MATHS NIVEAU 4ième MERLAN DECEMBRE 2025 BY TEHUA
COMPOSITION GENERALE SESSION DECEMBRE 2025 MATHS Tle D
COMPOSITION GENERALE SESSION DECEMBRE 2025 MATHS Tle D
BAREME DE LA COMPOSITION GENERALE SESSION DECEMBRE 2025 MATHS Tle D
BAREME DE LA COMPOSITION GENERALE SESSION DECEMBRE 2025 MATHS Tle D
DEVOIR DE MATHS N°2 NIVEAU Tle D MERLAN DECEMBRE 2025
DEVOIR DE MATHS N°2 NIVEAU Tle D MERLAN DECEMBRE 2025
Cours statistique
Cours statistique
Actuariat licence 1
Actuariat licence 1
TP2 MIAGE
TP2 MIAGE
SUPPORTS DE COURS java
SUPPORTS DE COURS java
COURS JAVA L1 2025fichierN
COURS JAVA L1 2025fichierN
COURS JAVA 2025fichier
COURS JAVA 2025fichier
COURS JAVA2025
COURS JAVA2025
CM Proba Diap(L1 23 24)(3)
CM Proba Diap(L1 23 24)(3)
CRSDossoR
CRSDossoR
CoursR conference talk
CoursR conference talk
24 25 CoursAlgLinScien&Tech
24 25 CoursAlgLinScien&Tech
1 Chap I Rappels sur les fondamentaux
1 Chap I Rappels sur les fondamentaux
3 Chap III Types enumérés
3 Chap III Types enumérés
4 CHAP IV La recursivité
4 CHAP IV La recursivité
TD 1 Algorithmique
TD 1 Algorithmique
TD 2 ALGORITHMIQUE
TD 2 ALGORITHMIQUE
Fonctions circulaires hyperboliques 070411
Fonctions circulaires hyperboliques 070411
FONCT HYPERBOLIQUES
FONCT HYPERBOLIQUES
Fiche SuitesL1 MIAGE
Fiche SuitesL1 MIAGE
Fiche2 MIAGE 050555
Fiche2 MIAGE 050555
Fiche2 MIAGE
Fiche2 MIAGE
Fiche1 Miage 050428
Fiche1 Miage 050428
Developpement limité 023413
Developpement limité 023413
Cours analyse1 MIAGE 24 25 102231
Cours analyse1 MIAGE 24 25 102231
Complément de courd Fonction réelle de la variable réelle 102503
Complément de courd Fonction réelle de la variable réelle 102503
TD Structures Algébriques L1 Miage ufrmi25
TD Structures Algébriques L1 Miage ufrmi25
Struct Algeb Chapitre 4  Polynômes et Fractions rationnelles
Struct Algeb Chapitre 4 Polynômes et Fractions rationnelles
Cours Structures Algébriques L 1 Maths  25
Cours Structures Algébriques L 1 Maths 25
Chapitre 2 Structures Algebriques Beamer
Chapitre 2 Structures Algebriques Beamer
Chap 1 Structures Algébriq Beamer
Chap 1 Structures Algébriq Beamer
Beamer Chapitre 3 Structures Algebriq
Beamer Chapitre 3 Structures Algebriq
Chp 4 Veille
Chp 4 Veille
Chp 3 Information
Chp 3 Information
Chp 1 fondamentaux
Chp 1 fondamentaux

Connexion

  • Mot de passe perdu ?
  • Identifiant perdu ?
  • Créer un compte

Concours de logo

apprendre anglais

apprendre allemand

apprendre espagnol

Ministère de l’Enseignement Technique de la Formation Professionnelle et de l’Apprentissage

Formation code de la route

Discussions en cours

LA LISTE DES CONCOURS À VENIR 2022/2023
  • 3 years ago.
CAFOP 2023 : Novembre 2022 ; POLICE 2022 : Novembre ou Décembre (2022) ; IPNETP 2022 : Décembre...

CONCOURS DE L'EAMAU
  • 3 years ago.
CONCOURS EAMAU 2023 Nous avons l'immense plaisir de vous annoncer le lancement officiel du...

Sujet de Maths BAC A2 et H 2022
  • 3 years ago.
Svp  puis-je avoir le corrigé de  Sujet de Maths BAC A2 et H 2022

Manque de sujet sur le site pour mon niveau
  • 3 years ago.
j’ai besoin des sujets de bts en Ida ,je ne l’es retrouvent  pas assez sur le site ( étude de cas )

Comment mettre un accent à une majuscule (À, É, È, Ç) ?
  • 3 years ago.
AVEC LES CODES ASCIICette méthode consiste à utiliser l'American Standard Code for Information...

Sujets CP1 au CM2

Cours CP1 au CM2

Sujets 6eme à la Terminale

Cours 6eme à la Terminale

Sujets Universités/Grandes Ecoles

Cours Universités/Grandes Ecoles

Sujets pour Concours

Cours pour Concours

Livres Fascicules

Sujets et Cours Divers

Autres Documents

QCM

  • Accueil
  • Connexion
  • Nous contacter
  • Comment ça marche
  • Conditions
  • Qui et Quoi
  • Aidez nous à soutra
  • Aide
  • Facebook
© 2026 fomesoutra.com. Tous droits réservés.