fomesoutra.com
  • Accueil
  • Sujets
  • Cours
  • Livres
  • Espace Prof
  • Formation Professionnelle
  • Cours de vacances
  • QCM
  • Videos
  • Infos
  • Discussions
  • Connexion
  1. Vous êtes ici :  
  2. Sujets
  3. Sujets du Secondaire
  4. Sujets niveau Terminale (Tle)
  5. Sujets de Terminale G1 et G2
  6. Sujets de Mathématiques niveau Terminale G1 et G2
  7. Sujets de Mathématiques BAC blancs serie G1 Institut Secondaire Technique ADAMA SANOGO
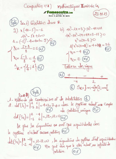
  8. Corrige du sujet de Maths BAC G1 ADAMA SANOGO 2013

pdf Corrige du sujet de Maths BAC G1 ADAMA SANOGO 2013 Populaires

1491 téléchargements

Télécharger (291 KB)
Corrige du sujet de Maths BAC G1 ADAMA SANOGO 2013

Sujets, Cours et Annales récents

DEVOIR DE MATHS NIVEAU 5ième DU MOIS DE DECEMBRE 2025 MERLAN BY TEHUA
DEVOIR DE MATHS NIVEAU 5ième DU MOIS DE DECEMBRE 2025 MERLAN BY TEHUA
BAREME COMPOSITION GENERALE SESSION DECEMBRE 2025 MATHS 4ième SUJET en WORD
BAREME COMPOSITION GENERALE SESSION DECEMBRE 2025 MATHS 4ième SUJET en WORD
DEVOIR DE FIN D'ANNEE MATHS NIVEAU 4ième MERLAN DECEMBRE 2025 BY TEHUA
DEVOIR DE FIN D'ANNEE MATHS NIVEAU 4ième MERLAN DECEMBRE 2025 BY TEHUA
COMPOSITION GENERALE SESSION DECEMBRE 2025 MATHS Tle D
COMPOSITION GENERALE SESSION DECEMBRE 2025 MATHS Tle D
BAREME DE LA COMPOSITION GENERALE SESSION DECEMBRE 2025 MATHS Tle D
BAREME DE LA COMPOSITION GENERALE SESSION DECEMBRE 2025 MATHS Tle D
DEVOIR DE MATHS N°2 NIVEAU Tle D MERLAN DECEMBRE 2025
DEVOIR DE MATHS N°2 NIVEAU Tle D MERLAN DECEMBRE 2025
Cours statistique
Cours statistique
Actuariat licence 1
Actuariat licence 1
TP2 MIAGE
TP2 MIAGE
SUPPORTS DE COURS java
SUPPORTS DE COURS java
COURS JAVA L1 2025fichierN
COURS JAVA L1 2025fichierN
COURS JAVA 2025fichier
COURS JAVA 2025fichier
COURS JAVA2025
COURS JAVA2025
CM Proba Diap(L1 23 24)(3)
CM Proba Diap(L1 23 24)(3)
CRSDossoR
CRSDossoR
CoursR conference talk
CoursR conference talk
24 25 CoursAlgLinScien&Tech
24 25 CoursAlgLinScien&Tech
1 Chap I Rappels sur les fondamentaux
1 Chap I Rappels sur les fondamentaux
3 Chap III Types enumérés
3 Chap III Types enumérés
4 CHAP IV La recursivité
4 CHAP IV La recursivité
TD 1 Algorithmique
TD 1 Algorithmique
TD 2 ALGORITHMIQUE
TD 2 ALGORITHMIQUE
Fonctions circulaires hyperboliques 070411
Fonctions circulaires hyperboliques 070411
FONCT HYPERBOLIQUES
FONCT HYPERBOLIQUES
Fiche SuitesL1 MIAGE
Fiche SuitesL1 MIAGE
Fiche2 MIAGE 050555
Fiche2 MIAGE 050555
Fiche2 MIAGE
Fiche2 MIAGE
Fiche1 Miage 050428
Fiche1 Miage 050428
Developpement limité 023413
Developpement limité 023413
Cours analyse1 MIAGE 24 25 102231
Cours analyse1 MIAGE 24 25 102231
Complément de courd Fonction réelle de la variable réelle 102503
Complément de courd Fonction réelle de la variable réelle 102503
TD Structures Algébriques L1 Miage ufrmi25
TD Structures Algébriques L1 Miage ufrmi25
Struct Algeb Chapitre 4  Polynômes et Fractions rationnelles
Struct Algeb Chapitre 4 Polynômes et Fractions rationnelles
Cours Structures Algébriques L 1 Maths  25
Cours Structures Algébriques L 1 Maths 25
Chapitre 2 Structures Algebriques Beamer
Chapitre 2 Structures Algebriques Beamer
Chap 1 Structures Algébriq Beamer
Chap 1 Structures Algébriq Beamer
Beamer Chapitre 3 Structures Algebriq
Beamer Chapitre 3 Structures Algebriq
Chp 4 Veille
Chp 4 Veille
Chp 3 Information
Chp 3 Information
Chp 1 fondamentaux
Chp 1 fondamentaux

Connexion

  • Mot de passe perdu ?
  • Identifiant perdu ?
  • Créer un compte

Concours de logo

apprendre anglais

apprendre allemand

apprendre espagnol

Ministère de l’Enseignement Technique de la Formation Professionnelle et de l’Apprentissage

Formation code de la route

Discussions en cours

documment
  • 5 months ago.
envoyer les nouvelles collection comme ezovu svt tle d et HKA

La science au service du développement personnel
  • 5 months ago.
Dans une suite géométrique, chaque terme est obtenu en multipliant le précédent par une raison...

Documents (1 nouveau(x))
  • 2 years ago.
Bonsoir  Svp puis-je avoir le livre de math payramide 3e et son corrigé ? Merci

Réunion du comité de direction - exemplaire
  • 6 months ago.
Réunion du comité de direction Date : 15 janvier 2024 Heure : 9h00-9h30 Participants : * [Nom...

Deux capitaux dont la somme est égal à 50000f , le premier est placé à T% et le second ( T-1)% ....
  • 6 months ago.
QUESTION:  Deux capitaux dont la somme est égal à 50000f , le premier est placé à T% et le second...

Sujets CP1 au CM2

Cours CP1 au CM2

Sujets 6eme à la Terminale

Cours 6eme à la Terminale

Sujets Universités/Grandes Ecoles

Cours Universités/Grandes Ecoles

Sujets pour Concours

Cours pour Concours

Livres Fascicules

Sujets et Cours Divers

Autres Documents

QCM

  • Accueil
  • Connexion
  • Nous contacter
  • Comment ça marche
  • Conditions
  • Qui et Quoi
  • Aidez nous à soutra
  • Aide
  • Facebook
© 2026 fomesoutra.com. Tous droits réservés.