Accueil
Sujets
Cours
Livres
Espace Prof
Formation Professionnelle
Cours de vacances
QCM
Videos
Infos
Discussions
Connexion
Vous êtes ici :
Sujets
Sujets du Secondaire
Sujets niveau Seconde (2nde)
Sujets de Seconde C
Sujets de Mathématiques niveau Seconde C
TP de Mathématiques niveau Seconde C
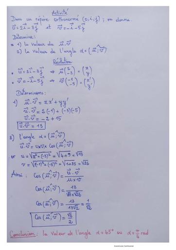
exercice corrigé produit scalaire by Tehua rectif .pdf
pdf
exercice corrigé produit scalaire by Tehua rectif .pdf
Populaires
2070 téléchargements
Télécharger
(177 KB)
Sujets, Cours et Annales récents
SUJETS+CORRECTION NOMBRES COMPLEXES ABOISSO ET GAGNOA (EXAMEN BLANC 2O26 EXO 4) BY TEHUA
4 SUJETS +BAREMES MATHS Tle D (EXAMEN BLANC REGIONAL 2026) by TEHUA
DEVOIR DE MAISON MATHS NIVEAU 5ième MERLAN POUR LES CONGE DE PAQUE BY TEHUA
DEVOIR DE MAISON MATHS NIVEAU 5ième MERLAN POUR LES CONGE DE PAQUE BY TEHUA
FICHE D'EXERCICE DE MAISON MATHS NIVEAU 4ième CONGE DE PAQUE AVRIL 2026 BY TEHUA
DEVOIR DE MAISON MATHS NIVEAU 4ième à Rendre au retour du congé de pâque by TEHUA
RECRUTEMENT Sujet Technique d'expression (SUJET) PROF PC LYCEE BY TEHUA
RECRUTEMENT Sujet Technique d'expression (SUJET) PROF PC COLLEGE BY TEHUA
RECRUTEMENT Sujet Technique d'expression (CORRIGE) PROF PC LYCEE BY TEHUA
RECRUTEMENT Sujet Technique d'expression (CORRIGE) PROF PC COLLEGE BY TEHUA
Sujet bac blanc régional drena Abidjan 4 SVT sujet By Tehua
Sujet bac blanc régional drena Abidjan 4 Philo sujet By Tehua
Sujet bac blanc régional drena Abidjan 4 PC sujet By Tehua
Sujet bac blanc régional drena Abidjan 4 HG sujet By Tehua
Sujet bac blanc régional drena Abidjan 4 FR sujet By Tehua
BAC régionale 2025 PC serie D Dren Abidjan 1 By Tehua
Prepa PC examen blanc 2026 by TEHUA
EXERCICES chimie minérale et Champ magnétique Tle D by TEHUA
EXERCICE corrigé Physique champ B Tle S BY TEHUA
Barème Du Devoir de niveau N°1 de Maths niveau 4ième Merlan du 12 Novembre 2025
DEVOIR Partiel MATHS NIVEAU 5ième Decembre 2024 UP 05BY TEHUA
Barème du Devoir de Niveau de maths N°1 (Merlan) niveau 5ieme du 12 Novembre 2025 by TEHUA
BAREME Devoir de maths 5ieme Merlan BY TEHUA
Bepc blanc 2026 dren Abidjan 4 SVT By Tehua
Bepc blanc 2026 dren Abidjan 4 PC By Tehua
Bepc blanc 2026 dren Abidjan 4 Maths By Tehua
Bepc blanc 2026 dren Abidjan 4 LV2 Espagnol By Tehua
Bepc blanc 2026 dren Abidjan 4 LV1 Anglais By Tehua
Bepc blanc 2026 dren Abidjan 4 HG By Tehua
Bepc blanc 2026 dren Abidjan 4 EDHC By Tehua
Bepc blanc 2026 dren Abidjan 4 Composition Française By Tehua
Bepc blanc 2026 dren Abidjan 4 Allemand By Tehua
MATHS SUP FICHE DE TD ELEMENTS LOGIQUE MATHS MI L1 BY TEHUA
PC SUP Cours Electrostatique Électricité by TEHUA
PC SUP Cours Electrocinétique by TEHUA
DEVOIR D'ESPAGNOL Tle A SALVAR LA ESCUELA BY TEHUA
DEVOIR D'ESPAGNOL Tle A LV2 NINOS SOLDADOS BY TEHUA
DEVOIR D'ESPAGNOL Tle A LE FUERZA DEL ESPANOL BY TEHUA
DEVOIR D'ESPAGNOL Tle A ENTRE EL DESIERTO BY TEHUA
BEPC BLANC MARS 2026 DRENA ABIDJAN 2 SUJET PC (BAREME) by TEHUA
Connexion
Pseudo
Mot de passe
Afficher le mot de passe
Maintenir la connexion
Se connecter avec Google
Connexion
Mot de passe perdu ?
Identifiant perdu ?
Créer un compte
Discussions en cours
documment
Samedi 27 Septembre 2025 12:36
envoyer les nouvelles collection comme ezovu svt tle d et HKA
La science au service du développement personnel
Vendredi 19 Septembre 2025 20:47
Dans une suite géométrique, chaque terme est obtenu en multipliant le précédent par une raison...
Documents
Vendredi 22 Septembre 2023 22:14
Bonsoir Svp puis-je avoir le livre de math payramide 3e et son corrigé ? Merci
Réunion du comité de direction - exemplaire
Mercredi 20 Août 2025 08:58
Réunion du comité de direction Date : 15 janvier 2024 Heure : 9h00-9h30 Participants : * [Nom...
Deux capitaux dont la somme est égal à 50000f , le premier est placé à T% et le second ( T-1)% ....
Mercredi 20 Août 2025 08:51
QUESTION: Deux capitaux dont la somme est égal à 50000f , le premier est placé à T% et le second...
Sujets CP1 au CM2
Cours CP1 au CM2
Sujets 6eme à la Terminale
Cours 6eme à la Terminale
Sujets Universités/Grandes Ecoles
Cours Universités/Grandes Ecoles
Sujets pour Concours
Cours pour Concours
Livres Fascicules
Sujets et Cours Divers
Autres Documents
QCM